1. 서 론
2. 환경 규제 법규 및 개발 방향
3. 친환경 마찰재 개발 내용
4. 복합재 브레이크 시스템 구성 및 평가
5. 친환경 마찰재 평가 결과
5.1. 차량 속도별 마찰재 제동 성능 평가
5.2. 마찰재 페이드 성능 평가
5.3. 마찰재 마모 성능 평가
6. 결 론
1. 서 론
최근 고성능 차량 및 EV(Electric Vehicle)가 폭넓게 적용됨에 따라 차량의 토크 및 중량이 기존 내연기관 대비 급격하게 증가되고 있다. 이와 같은 현상은 제동시스템의 관점에서 볼 때 열부하 증가에 의한 제동시스템의 사이즈 증대를 발생시키게 된다.
제동시스템의 사이즈 증가는 순차적으로 스프링 아래 질량이 증대 됨으로 인하여 차량의 승차감, 핸들링(Handling) 성능 및 연비 저하를 야기시킨다.
이와 같은 중량 증대 문제점을 개선하기 위하여 최근 복합재의 차량 적용에 대한 연구가 활발히 이루어지고 있으며, 기존 고성능차에 한정하여 적용하던 복합재 브레이크 기술이 저가의 복합재 소재 및 자동화 제조 기술 개발 그리고 EV 등 친환경 차량의 폭발적인 물량 증대에 의하여 가까운 미래에 보편적으로 활용될 것으로 예측되고 있다.
특히, 연비와 관련된 다양한 규제는 전세계적으로 지속적인 강화가 이루어질 것으로 예상되고 있어, 차량의 중량 저감 기술 개발은 자동차 산업의 주된 현안이라 할 수 있다.
이러한 복합재 브레이크의 폭넓은 상용화를 위하여 그동안 몇몇 전문가들에 의한 의미 있는 원리 연구가 이루어 졌다.
Ostermeyer(1) 등은 복합재 브레이크와 주철 브레이크에 대하여 마찰 특성 관점에서 상대 비교 연구를 수행하여 열 및 마모 특성 등에 대한 상세 비교 결과를 발표하였다.
Swarbrick(3) 등은 복합재 디스크의 표면 개선 결과를 실차 상당의 평가 및 광학 분석을 수행하여 우수한 연구 결과를 제시하였다.
심재훈(4~7,9~10) 등은 SiC 함량에 따른 복합재 디스크와 마찰재의 마찰 및 마모 특성에 대한 원리 연구를 수행하였으며, 상용화를 위한 복합재 디스크의 형상 개선과 마찰재 강건설계를 통하여 스퀼 노이즈 저감에 많은 기여를 하였다.
하지만, 탁월한 경량화 효과를 얻을 수 있는 복합재 브레이크의 장점에 비하여 복합재 브레이크 전용 마찰재의 상용화를 위한 연구는 아직까지 미흡한 실정이다.
특히, 2025년부터 북미를 중심으로 적용 예정인 환경 규제 법규 발효에 따라 복합재 브레이크 전용 친환경 마찰재 개발 기술을 반드시 확보해야만 하는 실정이다.
본 연구에서는 전술한 바와 같이, 향후 폭넓은 상용화가 예상되는 복합재 브레이크의 환경 규제 법규 대응을 위하여 복합재 브레이크 전용 친환경 마찰재를 개발하고자 한다.
이를 위해서, 로우 스틸(low steel) 마찰재와의 비교 및 검증을 통하여 동등 이상의 제동 성능을 확보하는 것을 본 연구의 목표로 설정하였다.
새로운 친환경 마찰재를 복합재 브레이크의 효력 특성, 페이드 특성 그리고 마모 특성 등 실차 상당의 평가를 통하여 의미 있는 분석 결과를 얻고자 한다. 또한, 복합재 브레이크의 기술 및 시장 선점을 위한 친환경 마찰재의 중요 원리 연구로 활용될 수 있도록 기여하고자 한다.
2. 환경 규제 법규 및 개발 방향
Fig. 1은 북미를 중심으로 추진되고 있는 마찰재의 환경 규제 법규를 나타내고 있다. 법규 발생 배경은 마찰재의 구리 성분이 해양 환경 오염을 유발하는 것을 막기 위한 것이며, 북미 워싱턴 주와 캘리포니아 주를 시작으로 발효되고 있다.
세부 내용으로는 2021년부터 마찰재의 구리 성분을 5% 이내로 규제하고 있으며, 2025년부터는 더욱 더 강화하여 구리 성분을 0.5% 이내로 규제를 하고 있다. 이는 마찰재 구성요소의 전반적인 재구성을 요구하게 된다. 이와 같은 상황을 고려하여, 본 연구의 방향을 2025년부터 시행되는 0.5% 이내의 구리 성분을 함유한 마찰재 개발로 선정하여 미래 기술 선점에 기여할 수 있도록 하였다.
3. 친환경 마찰재 개발 내용
일반적으로 마찰재는 20종 정도의 소재가 사용되고 있다. 다시 이와 같은 소재는 크게 결합재, 연삭재, 윤활재, 보강재, 댐핑재, ph 조정재로 분류할 수 있다. 아래의 Table 1은 마찰재의 중요 구성요소 및 특성을 나타내고 있다.
Table 1.
Components and features of friction material
먼저, 결합재는 페놀 수지계를 사용하며 연삭재, 윤활재 그리고 보강재를 상호 결합시키는 중요 기지재로 사용된다. 그리고 연삭재는 알루미나 등 금속산화물을 이용하여 형상 유지 및 마찰계수를 확보하기 위하여 사용되고, 윤활재는 대표적으로 흑연 등을 사용하여 마찰의 안정성 및 내마모성을 향상시키는 목적으로 사용된다. 끝으로, 보강재는 아라미드 섬유 등을 사용하여 마찰재의 골격 역할을 하는 강화재로 사용된다. 참고적으로 댐핑재와 ph 조정재는 마찰재의 유연성과 부식 방지를 위하여 사용된다.
본 연구에서는 이와 같은 구성요소 중 가장 중요한 역할을 담당하고 있는 결합재, 연마재, 윤활재 그리고 보강재를 조정하여 친환경 마찰재를 개발하였다. 이를 위해선 기존 로우 스틸 마찰재의 제동 특성을 그대로 유지하는 것이 해결해야할 가장 중요한 문제였다.
구리는 마찰재에서 금속 보강재로서 강도 확보의 역할 뿐만 아니라 우수한 열전도도를 가짐으로써 제동시 열발산 역할을 하며 마찰계면에서 이착막 형성을 용이하게 하여 고온 페이드 현상을 저감시키고 마찰 안정성을 확보하는 역할을 한다.(2,8) 이러한 구리가 마찰재내 포함되지 않을 경우 마찰계수 저하, 페이드 현상, 내마모성 악화 등의 악영향이 발생하게 된다. 이를 보완하기 위해 내마모성 향상을 위하여 결합재의 함량을 증대 시켰으며, 연삭재 및 윤활재의 경우 기존 함량 대비 약 5%~15%를 증대 시켜 안정적인 마찰계수 및 윤활 특성을 갖도록 하였다. 그리고, 보강재의 경우 기존 구리 성분을 대신하면서 내열성이 우수한 금속 섬유의 함량을 증대시켰다.
이와 같은 친환경 마찰재의 개발을 통하여 기존 로우 스틸 마찰재를 사용한 복합재 브레이크의 우수한 차량 속도별 제동 성능 및 페이드 성능을 동등하게 유지할 수 있도록 하였다.
또한, 친환경 마찰재의 내열성 및 윤활 특성을 향상시키는 방향으로 개발함에 따라 로우 스틸 마찰재 대비 탁월한 마모 성능을 확보할 수 있도록 하였다.
정리하면, 본 연구에서 제시한 친환경 마찰재는 기존 로우 스틸 마찰재의 제동 특성을 동등 수준으로 확보하면서 품질 수명의 극대화가 가능하여 향후 환경 규제 법규 대응을 위한 해결책으로 적합하도록 개발하였다.
4. 복합재 브레이크 시스템 구성 및 평가
Fig. 2는 복합재 브레이크 시스템의 구성요소를 나타내고 있다. 도시된 바와 같이 복합재 브레이크 시스템에서 차량의 속도를 감속 또는 정지시키기 위하여 유압을 발생하는 구성요소는 모노블록 캘리퍼 바디와 마찰재로 구성되며, 휠과 연결되어 마찰재와 상호 마찰을 발생시켜 차량을 정지시키는 구성요소는 복합재, Hat 그리고 체결부로 각각 구성된다.
본 연구에서는 환경 규제 법규 대응을 위하여 Fig. 2의 구성요소 중 ②번 마찰재의 구리 성분을 Fig. 1의 수준 N에서와 같이 0.5% 이내로 낮춘 친환경 마찰재를 개발하여 구리 성분이 포함된 기존 로우 스틸 마찰재 수준 N과의 상대 비교 검증을 수행하였다. 그리고 검증 결과를 기반으로 친환경 마찰재의 제동 성능 유효성에 대하여 분석하였다.
한편, 아래의 Fig. 3은 Fig. 2의 구성 요소에 대한 시험장치를 나타내고 있다. 도시된 바와 같이 마찰재를 포함한 모노블록 캘리퍼와 복합재 디스크를 너클을 포함한 시험장치에 설치하여 실차 상당의 평가가 수행되도록 하였다.
5. 친환경 마찰재 평가 결과
5.1. 차량 속도별 마찰재 제동 성능 평가
마찰재 평가의 가장 일반적인 특성을 파악하기 위하여 복합재 브레이크 전용 마찰재의 차량 속도별 제동 성능을 비교 검증하였다. 이때, 상대 비교를 위하여 로우 스틸 마찰재와 친환경 마찰재를 각각 동일 차량 속도별로 평가하였다.
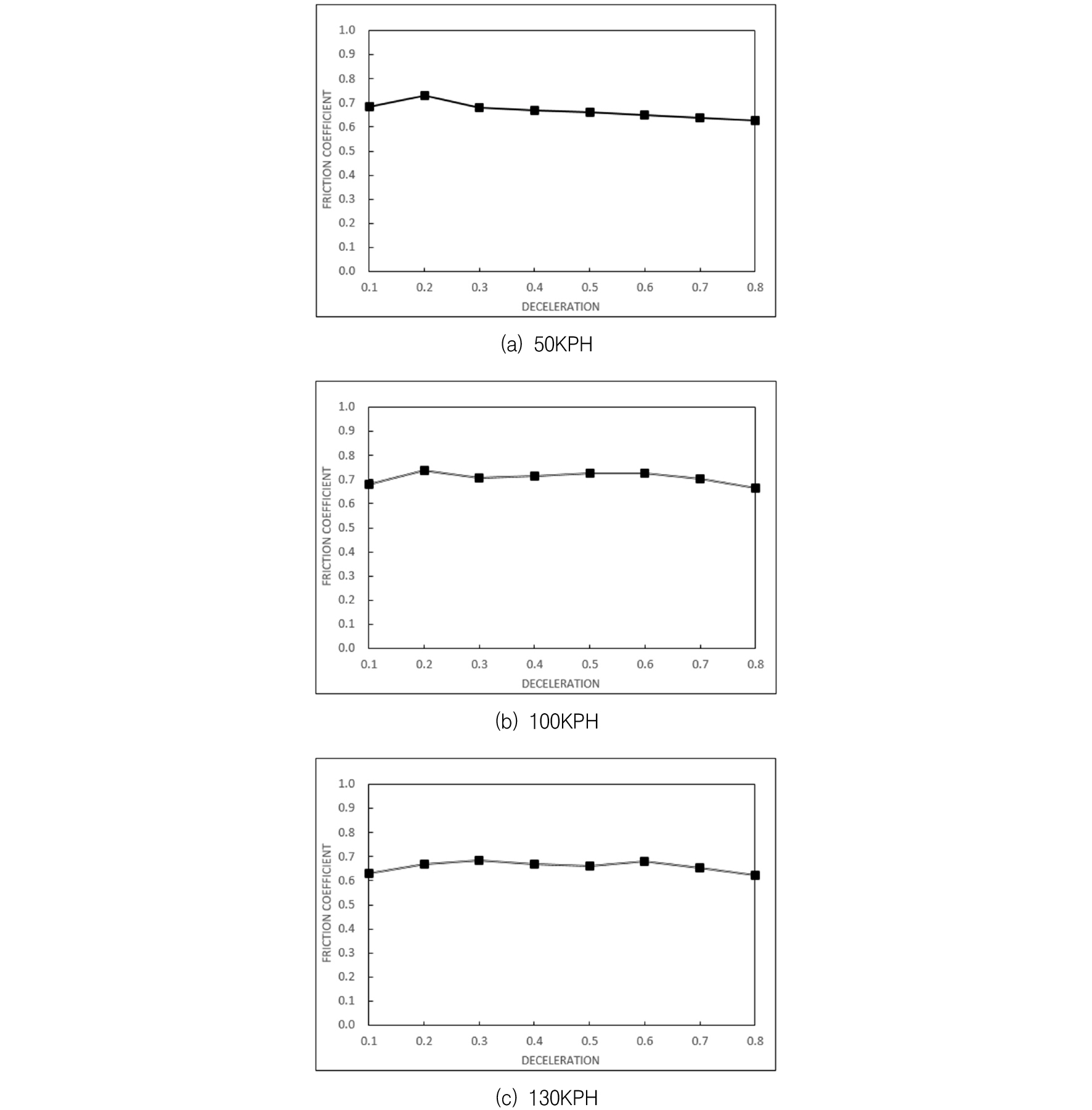
먼저, Fig. 4는 일반 주행조건 50KPH, 고속 주행조건 100KPH, 가혹 주행조건 130KPH에서의 차량 감속도 변화에 따른 로우 스틸 마찰재의 마찰계수 변화를 나타내고 있다. 도시된 바와 같이, 차량 속도별 차량의 감속도를 0.1g에서 0.8g까지 각각 감속할 경우 마찰계수의 변화를 확인하였다. 평가 결과 감속도 변화에 따른 평균 마찰계수는 0.678로 계측되었다.
한편, Fig. 5는 동일한 차량 속도 50KPH, 100KPH, 130KPH에서의 차량 감속도 변화에 따른 친환경 마찰재의 마찰계수 변화를 나타내고 있다. 로우 스틸 마찰재와 동일한 차량 속도 조건에서 감속도별 마찰계수의 변화를 확인하였으며, 평균 마찰계수는 0.637으로 계측되었다.
5.2. 마찰재 페이드 성능 평가
일반적인 제동 성능의 비교 검증 후 가혹 주행 상황에서의 제동 성능을 파악하기 위하여 페이드(Fade) 평가를 실시하였다.
페이드 평가는 고감속 제동 상황에서 반복 제동을 최대한 실시하여 마찰재의 마찰계수 저하를 관찰하는 평가로써, 해외 여러 잡지사들이 본 평가와 관련하여 각 차급별 제동거리를 비교 평가한 후 고객에게 제공하기 때문에 5.1 장의 평가 결과 함께 제동 성능의 주요한 비교 관측 자료라 할 수 있다.
아래의 Fig. 6은 차량 제동 횟수 증대에 따른 로우 스틸 마찰재의 마찰계수 변화를 나타내고 있다.
총 제동 횟수를 1회에서부터 10회까지 연속 제동을 실시하였으며, 그에 따른 마찰계수의 변화를 관찰하였다. 평가 결과 평균 마찰계수는 0.393로 계측되었다.
아래의 Fig. 7은 동일한 방법으로 수행한 차량 제동 횟수 증대에 따른 친환경 마찰재의 마찰계수 변화를 나타내고 있다. 평가 결과 평균 마찰계수는 0.370으로 계측되었다.
5.3. 마찰재 마모 성능 평가
마모 성능 평가는 도심 주행, 고속도로 주행, 가혹 주행 및 언덕 주행 등 다양한 상황에서 제동을 수행한 후 마찰재의 마모 수명을 산출하는 것으로, 품질 수준을 정량적으로 확인할 수 있다는 점에서 매우 중요한 성능이라고 할 수 있다.
아래의 Fig. 8은 로우 스틸 마찰재와 친환경 마찰재의 마모성능 비교 평가 결과를 나타내고 있다.
평가 결과 로우 스틸 마찰재는 51,170km의 마모 수명을 갖는 것으로 계측되었으며, 친환경 마찰재는 69,807km의 마모 수명을 갖는 것으로 각각 계측되었다. 한편, 아래의 Fig. 9는 본 연구에서 사용된 로우 스틸 마찰재와 친환경 마찰재 그리고 복합재 디스크 샘플을 각각 나타내고 있으며, 시험 후 두 샘플 모두 크랙 및 파손 등과 같은 특이사항이 없음을 확인하였다.
6. 결 론
본 연구는 경량화 기술로 폭넓게 사용될 것으로 예측되는 복합재 브레이크의 환경 규제 법규 대응을 위한 친환경 마찰재 개발에 관한 연구로써 아래와 같은 결론을 통하여 본 연구의 유효성을 확인하였으며, 향후 후속 연구를 위한 중요 원리 연구로 기여 가능한 유의미한 결과를 얻을 수 있었다.
1) 최신 환경 규제 법규 동향을 분석하였으며, 복합재 브레이크의 미래 선점 기술 확보 및 폭넓은 상용화를 고려하여 구리 성분 0.5% 이내의 친환경 마찰재를 개발함이 타당함을 확인하였다.
2) 로우 스틸 마찰재와 친환경 마찰재에 대하여 차량 속도를 50KPH, 100KPH, 130KPH로 각각 달리하여 마찰재의 제동 성능을 비교 평가하였다. 평가 결과 두가지 마찰재 모두 0.6 이상의 마찰계수를 얻을 수 있음을 확인하였다.
3) 로우 스틸 마찰재와 친환경 마찰재에 대하여 페이드 성능을 평가하였다. 평가 결과 고속 주행과 반복 제동을 연속적으로 실시하는 가혹 주행 상황에서도 두 마찰재 모두 0.3 이상의 마찰계수를 얻을 수 있음을 확인하였다.
4) 로우 스틸 마찰재와 친환경 마찰재에 대하여 도심및 고속도로 등 다양한 주행 환경을 기반으로 하여 마모 성능을 평가하였다. 평가 결과 로우 스틸 마찰재는 51,170km, 친환경 마찰재는 69,807km의 마모 수명을 갖는 것으로 확인되었다.
5) 마찰재 구성요소 관점에서 친환경 마찰재가 로우 스틸 마찰재 대비 동등한 제동 특성을 확보할 수 있는 요인에 대하여 고찰하였다. 그리고, 위와 같은 시험을 통하여 본 연구에서 제안된 친환경 마찰재가 로우 스틸 마찰재를 대신하여 복합재 브레이크의 다양한 제동 성능을 구현할 수 있음을 검증하였다.











