1. 서 론
2. 자동차보험 과실인정 기준
2.1. 분류체계 및 세부유형
3. 차대차 충돌 사고 유형 재분류
3.1. 사고 유형 재분류
3.2. 재분류 결과
4. 자동차보험사고 기반 사고 유형 분석
4.1. 사고 유형별 다빈도 사고 유형
4.2. 사고 유형별 중상해 발생 사고 유형
5. 결 론
1. 서 론
자동차 교통사고 관련 연구를 수행할 때 도로교통공단의 교통사고 분석시스템(TAAS, Traffic Accidents Analysis System)이 주로 활용된다. TAAS의 데이터는 경찰에 의해 조사된 사고 약 20만건과 자동차 보험 및 공제 회사에 접수된 사고 약 130만건이 매년 집적되고 있다.(1) 경찰 조사 데이터는 운전자, 도로, 기상 등 교통 환경 중심의 사고 조사 항목이 있는 반면, 통합 데이터인 자동차 보험 및 공제 회사의 사고는 경찰보다 6배 이상 사고 건수가 많지만, 사고조사 내용이 미흡해 활용도가 그리 크지 않은 실정이다. 또한, 자동차 안전 연구에 경찰 조사 데이터를 활용하고자 하더라도 세부 사고 유형과 관련 차량 및 상해 정보가 제공되지 않아 분석하는데 한계가 있다.
이에 자동차 안전도 연구에서는 에어백 전개 등 자동차 안전장치, 충돌 속도 및 방향, 탑승자 상해 등이 포함된 미국 NASS-CDS,(2) 독일 GIDAS(3) 및 국제공동 IGLAD(4) 등의 교통사고 심층분석 DB를 활용하고 있는 실정이다.(5) 최근 국내 자동차 교통사고 심층 분석을 위해 주요 의과대학병원을 중심으로 한국형 교통사고 심층분석자료인 KIDAS(Korea In-depth Accident Study)를 구축하고 데이터를 수집하고 있다.(6) 다만, 국내는 물론 해외 역시 심층분석 데이터 확보를 위한 시간과 노력이 많이 요구되어 매년 집적되는 데이터 수는 매우 적은 편이다.
본 연구는 TAAS 통합 DB에 포함되는 자동차보험사고와 관련하여 교통사고 과실 비율을 결정할 때 활용하는 손해보헙협회 과실인정 기준 과실도표로부터 자동차 주행 방향 및 경로에 따라 사고 유형을 재분류하고 자동차보험 사고 건수와 부상 정보를 연계하여 다빈도 유형 및 중상해 발생률 등에 대한 분석 연구를 수행하였다.
2. 자동차보험 과실인정 기준
자동차보험 과실인정 기준(7)은 자동차보험 사고에서 신속한 보상 및 가해자와 피해자의 보험사 간 사고보상금액에 대한 부담 비율(구상)을 결정할 목적으로 손해배상 법률전문가, 교통전문가, 보험전문가 및 시민사회단체 등이 참여해 제·개정하고 있으며, 보험업감독업무 시행세칙상의 자동차보험 표준약관 내 과실비율 적용기준으로 반영되어 활용하고 있다.
이에 따라 자동차보험 및 공제 회사는 교통사고 과실 판단을 할 때 이를 기초로 보상하고 있으며 사고 조사 내용과 동일한 과실도표를 확인하고 양쪽 사고차량에 대한 과실을 입력하는데 활용하고 있다.
과실비율 인정기준에서 정하고 있는 과실 결정 요인을 살펴보면, 도로 이용자의 종류(보행자, 차량, 자전거 등), 도로의 종류, 신호기 설치 여부, 신호 위반여부, 사고 위치 및 주행 방향, 도로의 대소, 차선 종류(중앙선, 실선, 점선 등) 등 다양한 사고 요인에 의해 분류하고 과실도표를 정의함으로써 사고 당사자간 과실 비율을 구분하여 제공하고 있다. 여기에 과실의 가감이 필요한 경우, 일부 수정 요소를 참고해 과실 비율을 최종 결정한다.
2.1. 분류체계 및 세부유형
자동차보험 과실인정 기준은 우선 자동차와 보행자/ 자동차/이륜차/자전거/고속도로 등 총 5개 사고 유형으로 분류하고 있다. 사고 유형별 과실인정 기준을 결정할 때에는 사고 위치, 신호등 여부, 주행 방향 등 과실비율 인정 기준 결정 요인에 따라 세부 유형으로 구분하여 도표로 나타내고 있으며 내용은 다음과 같다.
Table 1.
Negligence Standards of Auto Insurance
3. 차대차 충돌 사고 유형 재분류
3.1. 사고 유형 재분류
과실인정 기준 도표에서 2.자동차와 자동차, 3.자동차와 이륜차 사고 유형에서 “직진 대 우회전 사고”와 “기타 도로유형 사고”의 경우, 교통신호 유무, 급차로 변경, 도로 노면 표시 종류(실선/점선/안전지대 등)에 따라 과실이 다른 경우, 이를 세분화한 도표를 추가하여, 자동차-자동차 사고 83개 유형, 자동차-이륜차 사고 120개 유형 등 세부 유형으로 구분한다.
자동차 주행 및 충돌 평가 관점에서의 사고 유형을 도출하기 위해 각 차량의 주행 의도 및 진입 위치를 중심으로 사고 유형을 재분류하였다. 여기서, 주행 의도는 직진, 좌회전, 우회전, 유턴 등이고, 교차로에서 상대 차량의 진입 위치는 동일/좌측/우측/맞은편 방향으로 구분했다. 다만, 사고 상황을 도로의 대소, 신호기 운영 여부, 차량의 신호 상태 및 주행차로 위치까지 고려하여 구분한 과실도표는 자동차 주행 및 충돌의 관점에서 중복 사고로 보고 재분류하였다.
3.1.1. 과실도표의 사고 유형 재분류 예시
하나의 과실도표 내에 다수 사고 유형이 있는 경우에는 충돌 방향 및 부위가 달라지는 것에 따라 구분하였고, 반대로 신호기 유무, 신호 상태에 따라 달리 구분된 다수의 도표는 동일한 하나의 사고 유형으로 분류했다.
Table 2.
Examples for Accident Type Reclassification
| 과실도표 | 사고 유형 분류 |
![]() | ![]() |
| (a) 하나의 과실도표 → 다수의 사고 유형 | |
![]() | ![]() |
| (b) 다수의 과실도표 → 하나의 사고 유형 | |
3.1.2. 사고 유형 약어 정의
사고 유형을 분류하기 위해 자동차의 궤적(주행의도), 진입 위치, 피충돌 물체의 종류 등은 약어로 표시하였고, 평가 차량와 목표 차량을 구분하기 위해 기호로 “/” 를 사용하여 (평가 차량) / (목표 차량)으로 구분하였다. 약어 및 용어는 기존 연구 자료 및 해외 사고 유형 구분 시 사용되는 용어 등을 참고하였다.
Table 3.
Abbreviations for Accident Type Reclassification
3.2. 재분류 결과
3.2.1. 차대 보행자 사고 유형
자동차가 직진, 좌회전, 우회전, 후진 중 보행자와 발생한 사고 유형을 횡단보도 내, 횡단보도 인근, 무단횡단 등으로 구분하여 과실도표 34개를 사고 유형 19개로 재분류하였다.
Table 4.
Reclassified Accident Types of Car to Pedestrian
3.2.2. 차대 차 사고 유형
자동차가 직진, 좌회전, 우회전, 차로변경 중 다른 자동차와 발생한 사고 유형을 주행 의도 및 방향 등으로 구분하여 과실도표 83개를 사고 유형 33개로 재분류하였다.
Table 5.
Reclassified Accident Types of Car to Car
3.2.3. 차대 이륜차 사고 유형
자동차가 직진, 좌회전, 우회전, 유턴 중 이륜차와 발생한 사고 유형을 주행 의도 및 방향 등으로 구분하여 과실도표 120개를 사고 유형 38개로 재분류하였다.
Table 6.
Reclassified Accident Types of Car to Motorcycle
3.2.4. 차대 자전거 사고 유형
자동차가 직진, 좌회전, 우회전, 유턴 중 자전거와 발생한 사고 유형을 주행 의도 및 방향 등으로 구분하여 과실도표 34개를 사고 유형 26개로 재분류하였다.
4. 자동차보험사고 기반 사고 유형 분석
자동차보험 회사에 접수된 사고를 대상으로 과실도표에 기반한 국내 교통사고 다빈도 사고 유형을 도출하고자 최근 5년간(2015~2019년) 보험사에 접수된 교통사고 중 과실도표가 포함된 사고 데이터를 추출하였다. 그 결과, 자동차보험 회사에 접수된 사고 중 과실도표 101~453 에 따른 사고 건수, 부상자 수, 상해등급 등 유효 데이터 약 115만건이 추출되었다.
Table 7.
Reclassified Accident Types of Car to cyclist
Table 8.
Number of Accidents with the Negligence Standards (2015~2019)
| 사고 유형 | 과실도표 구분 | 사고건수 |
| 차대 보행자 | 101 ~ 134 | 13,723 |
| 차대 자동차 | 201 ~ 273 | 1,103,874 |
| 차대 이륜차 | 301 ~ 399 | 33,438 |
| 차대 자전거 | 401 ~ 453 | 3,899 |
| 합계 | 1,154,934 | |
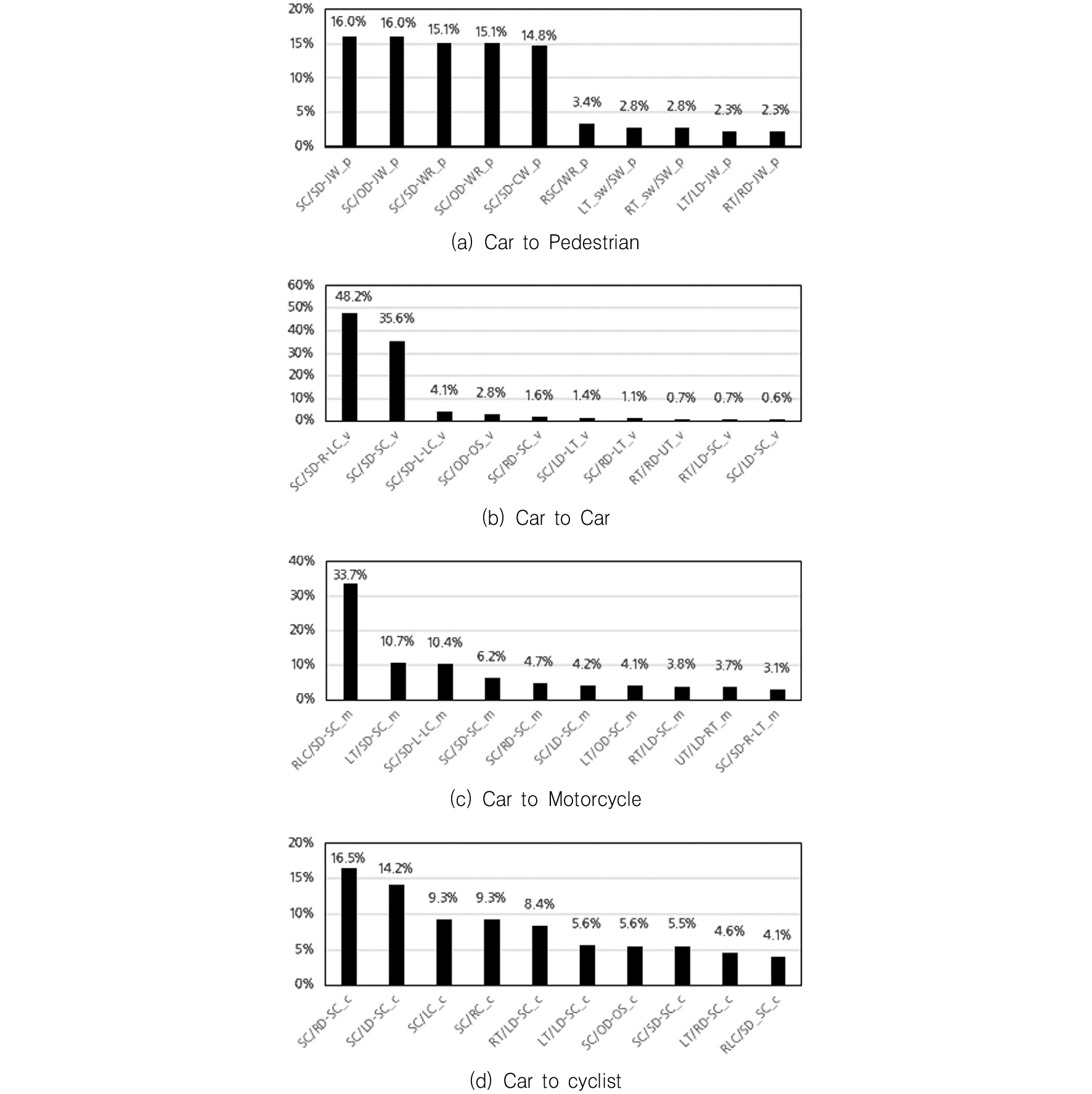
4.1. 사고 유형별 다빈도 사고 유형
과실도표로부터 사고 유형을 재분류하여 차대 보행자다빈도 사고를 도출한 결과, 자동차가 직진 주행하던 중 사고가 92%이며, 보행자가 무단 횡단 및 도로를 보행하는 경우의 사고가 약 77%, 횡단보도 내 사고가 약 15% 수준인 것으로 나타났다. 이외 자동차가 좌회전/우회전/후진 중 발생한 사고 역시 무단횡단과 도로보행중 사고가 많이 나타났는데, 이와 같은 사고 형태는 주로 보차 구분이 없는 이면도로와 생활도로에서 발생하는 것으로 판단된다.
차대 자동차 사고는 차선 변경 중 접촉 사고와 추돌 사고가 전체 사고의 87.9%를 차지하였고, 직진 중 맞은편 방향에서 역주행 차량과의 정면 충돌사고와 교차로 내 좌측/우측 방향에서 직진 및 좌회전하는 차량과의 사고 유형 순으로 많이 발생했다. 교차로에서 맞은편 방향의 역주행 및 좌회전 차량과 사고 유형은 교차로 AEB 대응 상황과 유사한 기술이므로 해당 장치의 장착에 따른 교차로 사고 감소가 기대된다.
차대 이륜차 사고는 주로 같은 방향에서 주행하는 자동차와 이륜차간 사고가 가장 빈번하게 발생(약 61%)하였는데, 주로 동일차로에서의 차선 변경 중 또는 차선 변경 후 추돌 사고 유형이다. 이는 차량 주변으로 접근 또는 추월하는 이륜차에 대한 경고 및 운전 보조장치가 장착된다면 차대 이륜차 사고 감소에 효과가 있을 거라 판단된다.
차대 자전거 사고는 차량 기준으로 좌측/우측에서 직진하는 자전거와의 사고 비율이 전체의 49%로 사고 위치는 자전거의 도로 가장자리 통행 특성 상 차량의 교차로 진입 전 횡단보도 또는 좌측 및 우측 방향 도로와 교차하는 지점이다. 또한, 단일로에서는 차량이 직진하고 있을 때 차로 변경하는 자전거와 사고 비율이 단순 추돌 사고보다 높아, AEB-Cycle 평가에서 자전거의 도로 주행 시 위치를 변화하는 방안도 검토할 필요가 있다.
4.2. 사고 유형별 중상해 발생 사고 유형
자동차보험 회사의 부상자 수 및 부상 등급 정보로부터 중상해 발생률이 높은 사고 유형을 분석하였다. 여기서 중상해 발생률은 상해등급 6급 이상(AIS 3+) 부상자 발생 사고 건수를 사고 유형별 전체 사고 건수로 나눈 비율로 정의하였다.
차대 보행자 사고에서는 죄회전 및 직진하는 차량이 횡단보도 인근의 보행자를 충돌한 사고 유형이 높은 중상해 발생률을 보였고, 차대 자동차 사고는 역주행 차량과의 정면 충돌, 좌회전-맞은편 방향 직진 차량 간 사고 등의 유형에서 높게 나타났다. 특히, 좌회전-직진 사고에서 조수석측 범퍼 모서리 또는 도어 부위에 충돌하는 사고를 반영하여 조수석 탑승자의 안전도 개선 검토가 필요하다.
차대 이륜차 사고는 자동차와 달리 동일 주행 방향에서 차로 변경 중 사고가 높은 중상해 발생률을 보여 충돌할 때 속도 차이가 작더라도 이륜차의 상해 위험성이 매우 높아 다빈도 사고 유형과 유사한 사고 유형 특성을 보였다.
차대 자전거 사고는 추돌사고 유형에서 가장 높은 중상해 발생률을 보여, 자동차가 동일한 차로에서 직진 중인 자전거를 충격할 때 매우 위험한 것으로 나타났다. 자동차가 동일 차로의 자전거를 안전하게 추월하거나 주의하여 운전할 수 있도록 적절한 경고 및 운전 보조장치가 필요하다고 판단된다.
5. 결 론
본 연구에서는 TAAS 통합 DB 활용을 위해 자동차보험 과실인정 기준의 도표 290개를 바탕으로 자동차의 궤적(주행 의도), 진입 위치, 피 충돌물체 종류 등으로 구분하여 재분류한 116개 사고 유형을 제시하였다. 또한, 분류된 사고 유형을 기초로 자동차보험 회사에 접수된 사고의 과실도표 정보와 연계하여 사고 유형별 다빈도 발생 유형과 중상해 발생률이 높은 유형 등에 대한 분석을 실시하였다.
사고 유형별 다빈도 및 중상해 발생률 특성을 분석함으로써 자동차 사고 예방 및 상해 감소를 위해 검토해야 하는 위험유형에 대한 정보를 제공하였다. 차대 자동차 사고에서의 다빈도 발생 유형은 차로 변경 및 추돌 사고이나 중상해 발생률은 낮았던 반면, 차대 보행자/이륜차/자전거 사고에서는 다빈도 발생 유형이 높은 중상해 발생률을 보이는 것으로 나타났다. 즉, 차대 이륜차는 차량 주변 중심의 차로 변경 사고 유형이, 차대 자전거는 추돌사고와 교차로 진입 전 위치에서의 사고 유형이므로 향후 이륜차 및 자전거 대응 기술 개발 및 평가에 관련 사고 유형을 검토하여 반영할 필요가 있다. 차대 자동차의 경우에는 다빈도 사고와 중상해 발생 사고 유형이 다른 경우가 많으므로 주행 안전은 차로 변경 및 추돌 사고 대응이, 충돌 안전은 역주행에 따른 정면 충돌 및 직진-좌회전 사고 유형에 대한 평가 방안 검토가 필요해 보인다.
본 논문에서 제시한 과실도표 기반 재분류 유형은 자동차보험에 접수된 많은 사고 건수에 대해 다빈도 및 중상해 발생 사고의 유형 조사 및 특성 연구에 편리함을 제공한다. 특히, 본 연구에서 제시한 분석 방법 과 도출한 다빈도 및 중상해 발생 사고 유형은 레벨4자율협력주행과 같이 교차로가 포함된 도심 도로를 고려한 새로운 평가 시나리오를 개발하는데 기초 자료로 활용될 것이다. 향후 연구에서는 도출된 사고 유형에 대해 사고 당시 영상을 심층 분석해 자율협력주행 평가에 적용될 수 있도록 국내 도심도로(교차로)의 위험상황 세부 조건을 제안하고자 한다.








